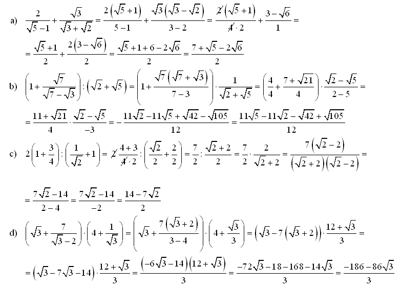
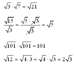
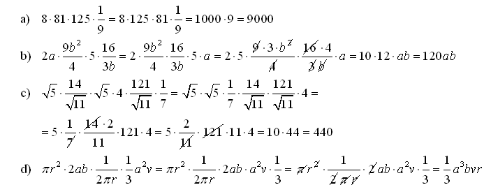
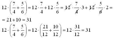
Računanje spremlja človeka že od pradavnine. Danes se kljub moderni tehnologiji, računalnikom in mobitelom lahko znajdemo v položaju, ko je treba nekaj na hitro izračunati. Čeprav se zdi nemogoče, smo včasih pri računanju "peš" lahko celo hitrejši od tipkanja na razne računske pripomočke. Dobro poznavanje lastnosti računskih operacij omogoča razumevanje mnogih procesov, ki so pomembni v znanosti. To je še posebej pomembno v računalništvu, kjer s spretnim izvajanjem računskih operacij pospešimo hitrost računalniških programov.



