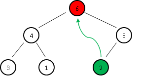
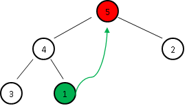
Vrsta s prednostjo je abstraktna podatkovna struktura (APS).
V njen so elementi urejeni po prednosti oz. prioriteti.
Za vrsto s prednostjo ne velja pravilo FIFO (first in first out).
S pomočjo te podatkovne strukture urejamo polje elementov.
PRIMER:
Čakanje pri zdravniku. Kartica s številko nam pove kakšno prioriteto imamo oz. kdaj bomo na vrsti.
K zdravniku je najprej prišla Micka, za njo Tone, France in nato šele Marjeta.
Torej ima večjo prioriteto tisti, ki je prej prišel v čakalnico.


