Seminarska naloga ROM-6.naloga

Seminarska naloga ROM-6.naloga

Avtor: Martina Nemec

6.NALOGA

Dana je funkcija

  1. Poiščite definicijsko območje funkcije in izračunajte njen prvi in drugi odvod.
  2. Izračunajte, pod kolikšnim kotom seka krivulja os . Rezultat zapišite na minuto natančno.
  3. Poiščite lokalne ekstreme funkcije .
  4. Poiščite intervale naraščanja funkcije .
  5. Izračunajte ploščino lika, ki ga omejujejo krivulja , os x ter premici in .

1.Točka

Definicijsko obmojče je pozitivna realna os brez ničle. Če imamo v imenovalcu 0 ta funkcija ne obstaja. Vemo pa tudi, da logaritem pri 0 ni definiran. Da je res tako, lahko vidimo iz grafa.

(silka1.png)

Graf sem narisala s pomočjo programa GeoGebra.

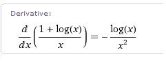
Prvi odvod: Izračunala sem ga s pomočjo prigrama Wolfram|Alpha, kamor vnesemo celotno funkcijo program pa nam tudi avtomatično izračuna prvi odvod.

(slika2.jpg)

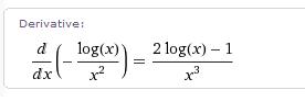
Drugi odvod: Dobimo ga tako da v program zapišemo prvi odvod.

(slika3.jpg)

2.Točka

3.Točka

Lokalne ekstreme funkcije poiščemo s pomočjo programa Wolfram|alpha, kjer obstaja ukaz local extrema f(x)

(naloga6e.jpg)

Kot lahko vidimo ima funkcija lokalni maksimum pri x=1. Lokalnega minimuma pa nima. Program nam je za lažjo predstavo tudi narisal graf in točko, kjer je lokalni ekstrem.

(naloga6d.jpg)

4.Točka

Interval naraščanja lahko določimo s pomočjo prejšnje točke. Iz grafa lahko odčitamo oziroma vidimo, da funkcija narašča na intervalu (0,1). Ker je pri 1 lokalni ekstrem, funkcija naprej pada.

(naloga6f.jpg)

5.Točka

Ploščino lika izračunamo s pomojčo programa Wolfram|alpha, kjer uporabimo ukaz integrate. Podati moramo funkcijo in interval od kje do kje integriramo.

(naloga6g.jpg)
0%
0%