Besedilo naloge:
- Določi ničle polinoma: f(x)= x³-2x²-8x
Postopek reševanja naloge:
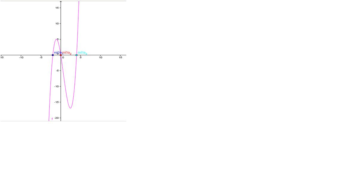
- V programu GeoGebra, v vnosno vrstico vnesemo f(x)= x³-2x²-8x (polinom tretje stopnje)
- Dobimo sliko polinoma
- Da dobimo ničle polinoma, zopet v vnosno vrstico vnesemo ukaz - ničle=Ničla[f(x)], na grafu se nam izrišejo tri ničle polinoma.
- Kordinate ničel: ničla1=(-2,0) ničla2=(0,0) ničla3=(4,0)


