8. Naloga

8. Naloga

Avtor: Spela Marincic

Besedilo naloge:

Določi gorišči in ekscentričnost elipse. Skiciraj tudi graf dane elipse:

Postopek reševanja naloge in rešitev:

Kaj sploh je elipsa:

Elipsa je množica ravninskih točk, za katere je vsota razdalj do dveh danih točk konstantna. Ti dve točki imenujemo gorišči elipse (G1 in G2). Torej: r1 + r2 = konst

(elipsa1.jpg)

Elipsa ima dve simetrijski osi (simetrali). Njuno presečišče je središče elipse

(S). Točke, kjer simetrali sekata elipso, so temena elipse (T1, T2, T3, T4).

Razdalja od središča do bolj oddaljenega temena se imenuje velika polos elipse

(ponavadi jo označimo a), razdalja od središča do manj oddaljenega temena pa se

imenuje mala polos elipse (ponavadi jo označimo b).

Gorišči elipse ležita vedno na veliki osi. Razdalja od središča do gorišča se

imenuje linearna ekscentričnost elipse (e).

Razmerje med linearnano ekscentričnostjo in veliko polosjo imenujemo numerična

ekscentričnost elipse (ε). Numerična ekscentričnost leži vedno na intervalu (0, 1)

in nam pove, kakšne oblike je elipsa. Če je ε blizu 0, je elipsa po obliki

podobna krogu; če je ε blizu 1, pa je elipsa zelo razpotegnjena (podolgovata).

(elipsa2.jpg)

Enačba elipse

Elipsa v središčni legi ima središče v točki S(0, 0), osi elipse pa ležita na koordinatnih oseh. Taka elipsa ima enačbo:

  • (elipsa3.jpg)

Ponavadi je velika polos a vodoravna, mala polos b pa navpična in veljajo zveze:

(elipsa4.jpg)

Včasih pa je a < b. To pomeni, da je velika polos navpična (b), mala polos pa vodoravna (a):

(elipsa5.jpg)

Če elipso vzporedno premaknemo tako, da pride središče v točko S(p, q), ima premaknjena elipsa enačbo:

(elipsa6.jpg)

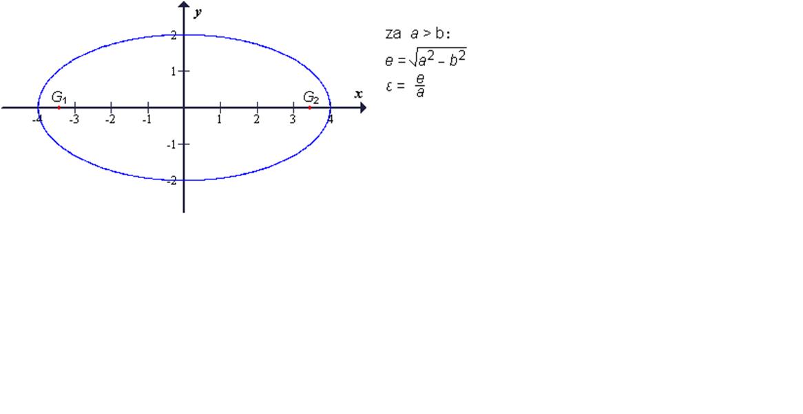
Naloga:

  • Velika polos elipse je a=2, mala polos elipse je b=1
  • Temena elipse so v točkah: T1=(-2,0), T2=(2,0), T3=(0,-1), T4=(0,1)
  • e=√(a^2-b^2 )=√3, iz tega sledi da imata, gorišči koordinati g1=(-√3,0) in g2=(√3,0).
  • Ekscentričnost je enaka ε=e/a=√3/2

Rešitev naloge v GeoGebri:

  • Najprej sem v vnosno vrstico vnesla parametra a=2 in b=1.
  • Nato sem vnesla ell: b^2 x^2 + a^2 y^2 = a^2 b^2 in izrisala se je elipsa.
  • Na sliki sem dodatno označila temena elipse in koordinati gorišč( Gorišče=gorišče[ell]).

(elipsa7.jpg)

  • Literatura: http://www2.arnes.si/~mpavle1/mp/k2r.html
  • Knjiga: MATEMATIKA za TRETJI LETNIK polinomi, racionalne funkcije, krivulje drugega reda
  • Naloga: str.91, 2.naloga, c primer
  • Avtor: Peter Legiša
  • DZS, Ljubljana 1995
0%
0%