Matematična naloga

Matematična naloga

Avtor: Maja Ban

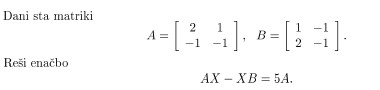
Besedilo naloge

(1.jpg)

Potek reševanja

Nalogo se najprej lotimo reševati brez programa Matlab, in sicer ročno na papir. Šele nato bomo uporabili program Matlab.

• Na začetku imamo podani matriki A in B. Podati moramo še matriko X, ki si jo poljubno izberemo.

(2.jpg)

• Najprej izračunamo levo stran A∙X-X∙B, ter dobimo:

(3.jpg)

• Izračunamo še desno stran enačbe 5∙A in dobimo:

(4.jpg)

• Sedaj, ko imamo izračunane rezultate obeh strani enačbe ju izenačimo:

(5.jpg)

• Vse štiri enačbe poračunamo med sabo, ter dobimo spremenljivke a,b,c in d. Njihove vrednosti so: a=11, b=-4, c=-9 in d=6.

• Dobljene spremenljivke vstavimo v matriko X, ki so rešitve dane naloge.

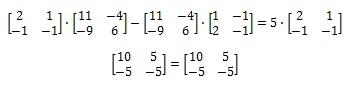
• Da se bomo prepričali, če smo prav izračunali dobljene spremenljivke za matriko X, lahko levo stran enačbe primerjamo z desno stranjo enačbe. In sicer matriko A pomnožimo z matriko X, ter odštejemo od matrike X, ki je pomnožena z matriko B in rezultat primerjamo z izračunano desno stranjo enačbe, pri kateri smo število 5 pomnožili z matriko A (A∙X-X∙B=5∙A).

(7.jpg)

• Rezultata obeh strani sta enaka, to pomeni, da je enačba rešena pravilno.

Izpis naloge v Matlab-u

• Najprej v Matlab napišemo podani matriki A in B.

(8.jpg)

• Vpišemo spremenljivke a,b,c in d, ki smo jih izračunali ročno.

(9.jpg)

• Napišemo matriko X=[a,b;c,d]

(10.jpg)

• Sedaj obe strani prvotne enačbe preverimo

(11.jpg)

• Vidimo, da smo rešili pravilno, saj se obe rešitvi leve in desne strani ujemata.

Izpis naloge v Matlab-u s filmom

Povezava: N7.txt

0%
0%