Matematična naloga

Matematična naloga

Avtor: Nina Jug

Besedilo naloge

Določi definicijsko območje, ničle, ekstreme, intervale naraščanja, padanja, območje konveksnosti in konkavnosti ter skiciraj graf funkcije
f(x) = .

Rešitev naloge v programu TI-Nspire CAS Student Software

Graf funkcije narišemo s pomočjo našega programa. V ukazno okno napišemo f(x) = sqrt(x)*log(x).

(6.naloga-graf.jpg)
Graf funkcije

Definicijsko območje korenske funkcije je [0,∞], logaritemske funkcije pa je (0,∞), zato je definicijsko območje naše funkcije od (0,∞).

Nadaljevanje naloge

Za iskanje ničel uporabimo ukaz Zero. Označimo spodnjo mejo (kjer želimo iskati ničlo), nato zgornjo mejo in izriše se nam ničla (1,0).

(6.naloga-nicla.jpg)
Ničla funkcije

Za iskanje ekstremov moramo izračunati prvi odvod naše funkcije in izračunati, kje je ta odvod enak 0. Preprosto vnesemo funkcijo v naš program. Z ukazom Derivate poiščemo odvod. Z ukazom Solve pa rešimo enačbo 'odvod = 0'.

(ekstremi.jpg)
Ekstremi

Naša funkcija ima v točki (e, ) minimum.

Nadaljevanje naloge

Če hočemo ugotoviti kje naša funkcija narašča oz. kje pada, moramo preveriti, kje je naš prvi odvod večji od 0 oz. manjši od 0.

(narascapada.jpg)
Območje padanja in naraščanja funkcije

Funkcija pada na intervalu (0, e), ter narašča na intervalu (e,∞)

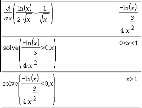
Za določitev konveksnosti oz. konkavnosti moramo najprej poiskati drugi odvod naše funkcije in preveriti kje je ta odvod večji od 0 oz. manjši od 0. Spet si pomagamo z našim programom.

(konvekonkav.jpg)
Območje konveksnosti in konkavnosti funkcije

Funkcija je na intervalu (0, 1) konveksna, ter na intervalu (1, ∞) konkavna.

0%
0%