V trgovini stane 5kg pomaranč in 2kg banan 13 evrov, 7kg pomaranč in 4kg banan pa 20 evrov. Koliko stane v tej trgovini kilogram pomaranč in koliko kilogram banan?
BESEDILO
V trgovini stane 5kg pomaranč in 2kg banan 13 evrov, 7kg pomaranč in 4kg banan pa 20 evrov. Koliko stane v tej trgovini kilogram pomaranč in koliko kilogram banan?
REŠEVANJE
Naloge se lotimo tako, da zastavimo sistem dveh enačb z dvema neznankama P in B:
Ta sistem lahko zapišemo s pomočjo matrike in vektorjev (Ax = b):
P in B poiščemo tako, da celotno enačbo pomnožimo z matriko , da dobimo enačbo: .
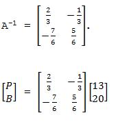
Matriko izračunamo s pomočjo ukaza inv(A) v programu Octave. Dobimo rezultat za
Desno stran enačbo poračunamo in dobimo rezultat. Torej kilogram pomaranč stane 2 evra, kilogram banan pa 1,5 evra.