Matematična naloga

Matematična naloga

Avtor: Maja Ban

Besedilo naloge

(1.jpg)

Nalogo bom rešila s pomočjo programa Maple.

Potek reševanja

Najprej sem vpisala dan integral. Pri tem sem si pomagala s klikanjem na določene ukaze na levi strani v programu.

(2.jpg)

Ko sem vpisala dan integral sem na koncu integrala dodala ločilo podpičje, da nam bo program izračunal integral. Po kliku na tipko Enter nam izpiše rezultat

(8.jpg)

(3.jpg)

Sedaj lahko v programu preverimo še postopek kako smo prišli do rešitve. V orodni vrstici izberemo Tools, nato možnost Tutors, Calculus-Single Variable in na koncu izberemo še Integration Methods.

(4.jpg)

Odpre se nam okno Calculus 1-Integration Methods, kjer pod Function v okno vpišemo naš integral na takšen način: (x-2*sqrt(x)+5*x^2)/x^2. Nato kliknemo Start in se nam naš integral izpiše v oknu pod Function. Ko kliknemo All Steps se v istemu oknu pod integralom, ki nam ga je izpisalo, izpiše celoten postopek reševanja po korakih do rešitve. Na koncu izpiše tudi rešitev, ki je

(8.jpg)

(5.jpg)

Na koncu kliknemo Close in se nam to okno zapre. V glavnemu oknu Maple, se nam izpiše dan integral ter rešitev.

(6.jpg)

Potek reševanja s filmom

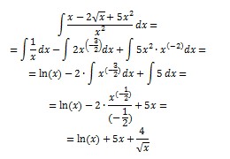
Ročen izračun

(7.jpg)

Dobili smo isti rezultat, kot nam ga je izračunal Maple, vendar v drugačnemu vrstnemu redu.

Povezava: Integral.mw

0%
0%