• Maple je splošni računalniški program za simbolično računanje.
• Najprej ga je leta 1981 razvila Symbolic Computation Group na Univerzi v Waterlooju, Ontario, Kanada.
• Od leta 1988 ga razvija in prodaja kanadsko zasebno podjetje Waterloo Maple Inc. (znano tudi kot Maplesoft), ki ima prav tako sedež v Waterlooju. Trenutna različica programa je Maple 14, ki je izšla aprila 2010.
• V celoti je zasnovan kot urejevalnik besedila. Uporabljajo ga predvsem matematiki, inžinirji in znanstveniki.
• Uporabniku ponuja hitre izračune, uči osnovne pojme in proizvaja natančne simulacijske modele.
• Njegovo orodje je sposobno zajeti vse naše tehnično znanje v elektronski dokument, ki vključuje izračune, pojasnjevalno besedilo ter grafiko, slike, zvok in diagrame.
• S svojimi funkcijami omogoča izris 2D in 3D grafov, ki temeljijo na enostavnih in zahtevnejših enačbah.
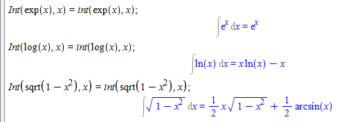
• Funkcije zapisujemo v okroglih oklepajih, sezname (vektorje, matrike,…) v oglatih in množice v zavitih.
• Komentarji niso vgnezdeni in se začnejo z lojtro #.
Opomba: V oknu programa Maple lahko vnašamo ukaze ali pa jih dobimo z enostavnim klikanjem na levi strani v programu.


