Matematično ozadje
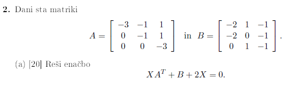
Rešujemo matrične enačbe. Pri tej nalogi moramo biti izjemno pazljivi na vrstni red in pravila. Pri matrikah se ne upošteva zakon o komutativnosti, kar pomeni če izpostavimo na desni strani, moramo na levi strani prav tako pomnožiti iz desne strani. Imamo matrično neznanko X, ki jo dopolnimo z neznankami od a-i, nato rešujemo vsako neznanko posebaj. Nenazadnje moramo opraviti preiskus ali smo nalogo pravilno rešili.


