Dana je funkcija .
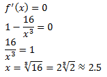
- a.) Zapišite definicijsko območje, ničle, pol, poševno asimptoto in stacionarno točko. (Obe koordinati stacionarne točke zapišite na eno decimalko natančno). V dani koordinatni sistem narišite graf funkcije .
- b.)Izračunaj ploščino lika, ki ga oklepajo graf funkcije ter premice , in .
- c.)Točka leži na grafu funkcije . Vzporednica abcisni osi skozi točko , seka ordinatno os skozi točko , vzporednica ordinatni osi skozi točko pa seka abcisno os skozi točko . Izračunajte natančno vrednost abcise točke , za katero je ploščina trikotnika ekstremna. Narišite sliko.
Matematično ozadje
Ta naloga je zelo obsežna. Pri tej nalogi računamo pole, asimptoti, računamo odvod, računamo integral, računamo stacionarne točke, računamo ploščino lika…. Postopoma bom razložila kako in zakaj kaj računamo.



