Dana je funkcija
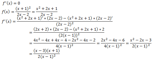
- Izračunaj lokalna ekstrema funkcije f.
- Izračunajte ničle, pole in simptote ter narišite graf funkcije f.
- Dokažite da je funkcija g(x)=f(x+1)-2 liha.
Matematično ozadje
Pri tej nalogi si bomo pomagali z orodjem Geogebra in WolframAlpha. Z Wolframalpha izračunamo ekstreme, ki jih drugače ročno pridobimo z odvajanjem. Tu si prihranimo veliko dela in časa ter izognemo se površnosti. Narisali in določili bomo pole, poševno asimptoto in dokazali lihost funkcije . Pravilo za lihost se glasi:
.



