Binomska kopica

Binomska kopica

Avtor: Nina Otoničar

Učni cilji: utrjevanje

Pred pričetkom reševanja si oglejte:

snov

1. NALOGA

Binomsko kopico sestavljajo:

Zelena drevesa
Binarna drevesa
Binomska drevesa

Preveri

Pravilno

:) :) :) Naprej

Napačno

:( :( :( Ok

2. NALOGA :

(KVIZ.JPG)
Binomska kopica
  • Binomska kopica ima 29 elementov. Binarni zapis števila 29 ?

    10101
    00110
    11101

Preveri

Pravilno

:) :) :) Naprej

Napačno

:( :( :( Ok

(KVIZ.JPG)
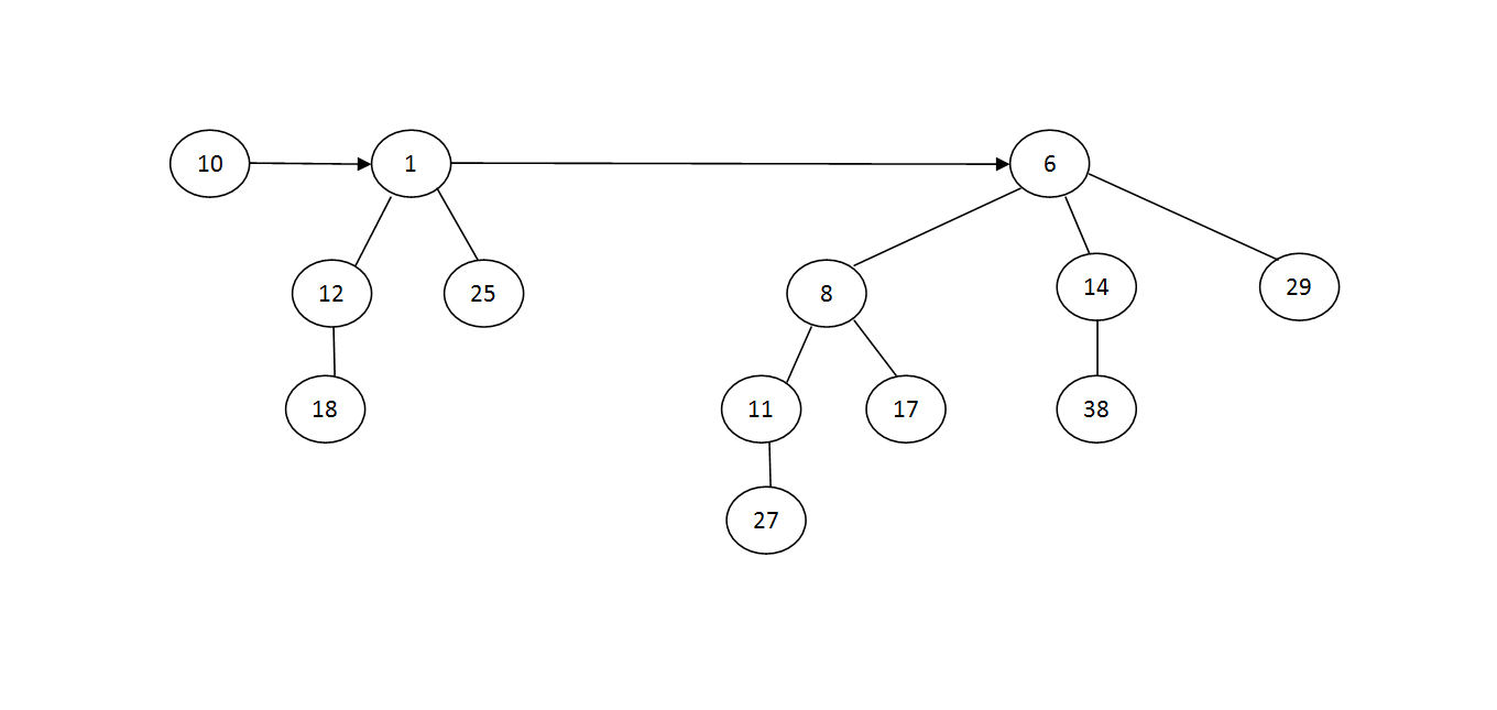
Binomska kopica
  • Koliko binomskih dreves sestavlja binomsko kopico na sliki? (številka) Preveri

Pravilno

:) :) :)

Naprej

Napačno

:( :( :(

Ok

(KVIZ.JPG)
Binomska kopica
  • Iz katerih redov so sestavljena binomska drevesa na sliki ? (od leve proti desni; loči jih z vejicami) Preveri

Pravilno

:) :) :) Naprej

Napačno

:( :( :(

Ok

3. NALOGA

Po postopku brisanje minimuma odstrani minimum v naslednji kopici ter odgovori na vprašanja.

(brisanjeminimuma.jpg)
Binomska kopica
  • Minimum se nahaja v binomskem drevesu reda?(številka) Preveri

Pravilno

:) :)

Naprej

Napačno

:( :(

Ok

(brisanjeminimuma.jpg)
Binomska kopica
  • Po izbrisanem minimumu je kopica sestavljena iz binomskih dreves reda?(številke ločene z vejico) Preveri

Pravilno

:) :)

Naprej

Napačno

:( :(

Ok

4. NALOGA

Po postopku združitev dveh kopic, združi naslednji dve kopici v eno. Nato odgovori na naslednje vprašanje.

(UNIJAKVIZ.JPG)
Binomski kopici
  • Koliko je vsota korenov na globini 3?

    0
    178
    192

Preveri

Pravilno

:) :) :) Naprej

Napačno

:( :( :( Ok

5. NALOGA

Pri naslednji binomski kopici zmanjšajmo ključ. Odgovori na vprašanje.

(zmanjsanjekljucakviz.jpg)
Binomska kopica
  • Koliko je vsota ključev ,po opravljenem postopku, na globini 2?(številka) Preveri

Pravilno

:) :) :) Naprej

Napačno

:( :( Ok

0%
0%