KRATEK OPIS
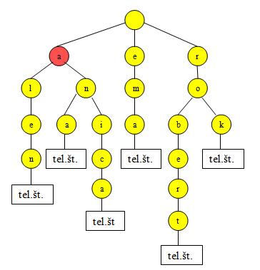
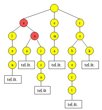
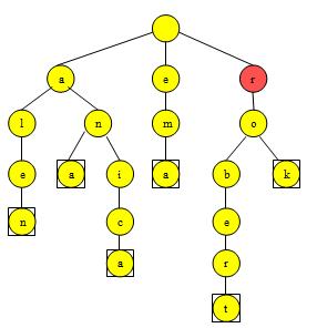
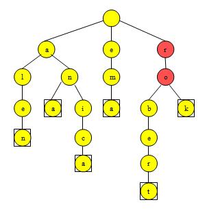
Trie je podatkovna struktura, ki se uporablja za shranjevanje besednih nizov. Poleg besednih nizov lahko v podatkovno strukturo trie shranimo tudi posamezne vrednosti (npr. starost, telefonske številke,…). Beseda trie izhaja iz besede »retrieval«, kar pomeni pridobitev, povrnitev. Podatkovno strukturo trie je izumil Edward Fredkin. Trie ima strukturo drevesa, vendar je njegova posebnost v tem, da v korenskem vozlišču ne hranimo podatkov, ampak nam to vozlišče služi samo za vzdrževanje strukture. Posebnost je tudi znak [] (EndOfKey), ki nam predstavlja konec besede. Trie je zelo učinkovit, če želimo poiskati večje število ključnih besed, če pa iščemo le nekaj besed potem raje uporabimo kakšno drugo metodo. Iskanje ključne besede je v trie hitrejše kot pri dvojiškem iskalnem drevesu.
Trie pozna tri osnovne operacije, in sicer:
- ISKANJE (ugotovimo ali se ključna beseda nahaja v trie)
- VSTAVLJANJE (vstavimo besedo v trie)
- BRISANJE (odstranimo besedo iz trie)
Vsi trije postopki so natančneje opisani v nadaljevanju.


