Maturitetna pola pomlad2010 OR, naloga12, Ti-Nspire

Maturitetna pola pomlad2010 OR, naloga12, Ti-Nspire

Avtor: Tjaša Rebec

Uvod

Podatki o prosojnicah:

  • Splošna matura
  • Maturitetna pola 5. junij 2010, osnovna raven
  • 12. naloga
  • Snov: geometrija v ravnini

Povezava na maturitetno polo: Klik

Na teh prosojnicah lahko najdemo:

  • kratko ponovitev snovi, povezane z maturitetno nalogo
  • postopek reševanja naloge s programom Ti-Nspire
  • preverjanje znanja - reševanje kviza ali reševanje sorodne naloge


Začni

Besedilo naloge

Tangenta na graf funkcije v točki z absciso je pravokotna na premico z enačbo . Izračunajte realno število .


Ponovitev teorije

Reševanje naloge s pomočjo Ti-Nspire

Ponovitev snovi

Tangenta

Tangenta je premica, ki se dani funkciji v okolici dane točke najbolj prilega - se je dotika.

Zgled:

S premikanjem rdeče točke po krivulji na spodnji sliki lahko opazujete premikanje tangente na krivuljo.

Aplikacija GeoGebra se ni mogla zagnati. Prosim preverite, ali imate v brskalniku namescen program Java 1.4.2 (ali novejsi) (Kliknite tu za namestitev Jave)


Kako dobimo tangento na graf funkcije:


Naj bo podana funkcija in točka , ki leži na grafu funkcije . Tangento na graf funkcije v točki dobimo po naslednjem postopku:

Najprej izberemo na grafu funkcije še drugo točko . Skozi obe točki poteka premica, ki graf funkcije seka v dveh točkah - imenujemo jo sekanta. Potem točko približujemo dani točki . V limiti, ko točka doseže , se sekanta spremeni v tangento.

(Tangente2.gif)


Tangenta na graf funkcije je povezana z odvodom: odvod funkcije pri je namreč enak smernemu koeficientu tangente na graf funkcije v točki . Zaradi tega lahko v okolici točke vrednost funkcije dobro aproksimiramo z odvodom:

Pravokotnica

Pravokotnica je premica, ki dano premico seka pod pravim kotom.

(pravokotnica.jpg)


Enačba, ki velja za smerne koeficiente pravokotnic:

Dana je premica ter njena pravokotnica . Za smerna koeficienta in velja enačba


Primer:

Ali sta premici in pravokotni?

Drugo premico najprej zapišemo v eksplicitni obliki:

Sedaj lahko razberemo njen koeficient: . Koeficient prve premice pa je . Zapišemo enačbo za koeficiente in vstavimo podatke.

Enakost velja. Premici sta torej pravokotni.

Več o geometriji v ravnini

Reševanje naloge s pomočjo Ti-Nspire

Reševanje naloge s pomočjo Ti-Nspire CX CAS

Naloge se samo z uporabo računala ne da rešiti. Potrebno je znanje o pravokotnicah in enačbi za smerne koeficiente.

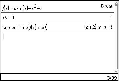
V dokumentu programa najprej definiramo dano funkcijo in koordinato .

(Image001.jpg)



Tangento na graf funkcije v lahko dobimo z ukazom tangentLine(funkcija, spremenljivka, točka).

(Image002.jpg)


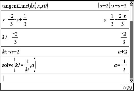
Dobimo, da je naša tangenta premica s predpisom .
Iz besedila naloge vemo, da je tangenta pravokotna na premico z enačbo . Če predpis premice preračunamo v eksplicitno obliko, dobimo


Da bomo dobili iskani , moramo uporabiti enačbo, ki velja za smerne koeficiente pravokotnic:

kjer je koeficient dane premice, pa koeficient izračunane tangente.

V okno programa definiramo oba koeficienta in vpišemo ukaz za reševanje enačbe s smernimi koeficienti.

(Image003.jpg)


Dobimo rešitev .

Nekaj nalog

Preverjanje znanja

1. naloga

Povežite premice in njihove pravokotnice!

Preveri

Pravilno

Vsi odgovori so pravilni!

Naslednja naloga

Napačno

Vsi pari se ne ujemajo. Preverite smerne koeficiente premic!

Ponovno reševanje

Rešitve

Rešitve

2. naloga

Dana je funkcija . V eksplicitni obliki zapišite enačbo tangente na graf v točki .

Nalogo rešite na dva načina: najprej brez uporabe računala Ti-Nspire, nato pa še z njim.

Reševanje naloge brez pomoči Ti-Nspire

Postopek reševanja brez pomoči računala:

  • izračunamo odvod funkcije

  • s pomočjo odvoda in točke dobimo smerni koeficient tangente.

  • vemo, da je enačba tangente oblike
  • izračunamo , ki ga dobimo tako, da vstavimo v zgornjo enačbo točko :

  • enačba tangente:


Filmček: reševanje naloge s pomočjo Ti-Nspire

Potek reševanja naloge


0%
0%