Zbirka rešenih nalog iz matematike

Zbirka rešenih nalog iz matematike

Avtor: Anela Halilović

NALOGA 1

  • Besedilo naloge

    (nal1.jpg)
  • Rešitev

V Xcas uporabimo ukaz int(f(x)).

a) Pri tem primeru ne naletimo na težave.

(N1/N1sl1.jpg) b) Pri tem primeru, nam pa program vrne čudne vrednosti.

(N1/N1sl2.jpg)

Integral je potrebno preoblikovati. Uvedemo novo spremenljivko . Potem dobimo:

Integrirati moramo funkcijo  . Zdaj lahko upprabimo Xcas.

(N1/N1sl3.jpg)

Zdaj samo namesto   vstavimo .
Dobimo rešitev:

NALOGA 2

  • Besedilo naloge

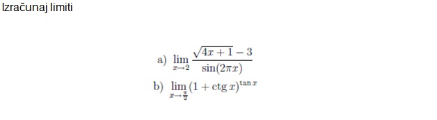
    (nal2.jpg)
  • Rešitev

V Xcas-u uporabimo ukaz limit(funkcija,spremenljivka,meja), ki nam vrne vrednost limite.

a)

(N2/N2sl1.jpg) b)

(N2/N2sl2.jpg)

NALOGA 3

  • Besedilo naloge

    (nal3.jpg)
  • Rešitev

Uporabimo Octave.
Matrika A vsebuje koeficiente pri spremenljivkah, stolpec a pa desne strani enačb.

(N3/N3sl1.jpg)

Preverimo ranga matrik A ter [A|a].

(N3/N3sl2.jpg)

Vidimo, da se ranga ujemata, torej je sistem enolično rešljiv. Rešitev dobimo tako, da matriko A z leve delimo s stolpcem a.
Elementi stolpca, ki ga dobimo pri tem deljenju, so rešitve našega sistema enačb.

(N3/N3sl3.jpg)

Torej dobimo:

NALOGA 4

  • Besedilo naloge

    (nal4.jpg)
  • Rešitev

Z Octave-om poiščemo lastne vrednosti matrike A:

(N4/N4sl1.jpg)

Vidimo, da ima matrika eno enojno (𝜆 = 1) ter dvojno ničlo (𝜆 = 0).

Izračunajmo matriko A-I ter določimo njen rang:

(N4/N4sl2.jpg)

Določimo rang matrike A oz. matrike A - 0×I ter matriko A^2:

(N4/N4sl3.jpg)

Da bi določili prehodno matriko, je potrebno izračunati jedra matrik A-1×I, A ter A^2:
  A-I ⟹ (-1, 1, 1)
  A ⟹ (1, 2, 1)
  A^2 ⟹ (-1, -1, 0)

(N4/N4sl4.jpg)

Torej je prehodna matrika P:

Z orodjem izračunamo inverz prehodne matrike:

Zdaj je potrebno določiti še Jordanovo formo za našo matriko A:
Zaradi rangov matrik A-I ter A, imamo kletki velikosti  1×1 in 2×2:

Preverimo, če je A=PJP^{-1}:

(N4/N4sl5.jpg)

Po preizkusu vidimo, da sta Jordanova forma ter prehodna matrika prav določeni.

Torej:

(N4/N4sl6.jpg)

NALOGA 5

  • Besedilo naloge

    (nal5.jpg)
  • Rešitev

    • a) Potrebno je izračunati prvi odvod ter ga vstaviti v enačbo tangente
    • b) Izračunati je potrebno naklonski količnika tangente v tč. A ter premice skozi in , produkt teh dveh količnikov pa mora biti -1.

NALOGA 6

  • Besedilo naloge

    (nal6.jpg)
  • Rešitev   Izračunati je potrebno prvi ter drugi odvod funkcije f(x).
    Funkcija doseže ekstreme v ničlah prvega odvoda (da bi vedeli ali je določeni točki max ali min, izračunamo vrednosti funkcije v teh ničlah).
    Funkcija narašča za tiste x, kjer je prvi odvod večji od 0, pada pa za tiste x, kjer je prvi odvod funkcije manjši od 0.
    f'(x)> 0 ⟹f narašča
    f'(x)< 0 ⟹f padajoča
      Intervale konveksnosti oz. konkavnosti ugotovimo s pomočjo drugih odvodov.
    Za tiste x, za katere je drugi odvod pozitiven, je funkcija konveksna.
    Za tiste x, za katere je drugi odvod negativen, je funkcija negativna.
    f''(x)> 0 ⟹f konveksna
    f''(x)< 0 ⟹f konkavna

    (N6/N6sl1.jpg) (N6/N6sl2.jpg)

    Graf funkcije:

    (N6/N6sl3.jpg)

NALOGA 7

  • Besedilo naloge

    (nal7.jpg)
  • Rešitev

Z uporabo pravil o logaritmiranju, našo enačbo prevedemo na novo enačbo:
((x+71)(x-9))/((x-1))= 3^2        (*)
(x^2+62x-639)/(x-1)=9
(x^2+53x-630)/(x-1)=0
((x-10)(x+63))/(x-1)=0

"Druga rešitev ni pravilna, saj .(Logaritem je definiran na (0,∞).)

Preverimo rešitev v Xcas:

(N7/N7sl1.jpg)

NALOGA 8

  • Besedilo naloge

    (nal8.jpg)
  • Rešitev

Vsak polinom p(x) se da zapisati v obliki p(x)=k(x)q(x)+o(x), kjer je o(x) ostanek pri deljenju polinoma p(x) s q(x).

Količnik k(x) moramo sami izračunati.
p(x) = q(x)k(x) + 4
      (x3 - 2x + a):(x – 3) ~  x2 + 3x + 7 . . . . .  količnik k(x)
    - (x3 – 3x2 )
            3x2 – 2x + a
         - (3x2 – 9x)
                  7x + a
               - (7x – 21)
                       a + 21      . . . . . . ostanek pri deljenju

a + 21 = 4 ⟹ a = - 17

p(x) = x3 - 2x – 17
p(x) = (x – 3)( x2 + 3x + 7) + 4

Z Xcas-om preverimo naše rešitve.

(N8/N8sl1.jpg) (N8/N8sl2.jpg)
0%
0%