Pristop k reševanju
Problem lahko razdelim na dve ključni nalogi:
- izračun vseh znamenitih točk trikotnika
- izris trikotnika in točk
Izračun znamenitih točk
Poiskati moram enostaven a stabilen način izračuna:
- višinske točke
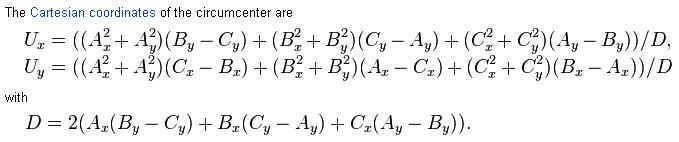
- središča trikotniku očrtanega kroga
- središča trikotniku včrtanega kroga
- težišče
Izris trikotnika in točk
Tu je največji problem spreminjanje velikosti okna. Če uporabnik okno lepo sorazmerno povečuje se točke izračunajo kar iz relativnih koordinat. Problem nastane če uporabnik okno raztegne le v eni smeri. V tem primeru se trikotnik močno deformira in znamenite točke je potrebno ponovno izračunati. Sicer lahko uporabnik dobi napačno predstavo o njih.


