BINOMSKA KOPICA

BINOMSKA KOPICA

Avtor: Nina Otoničar

KAJ JE BINOMSKO DREVO ?

Je rekurzivna podatkovna struktura, kjer velja:

  • koren je najmanjši element v drevesu;
  • posamezen element je binomsko drevo ;

sestoji iz dveh poddreves , pri čemer je:

  • manjši od korenov poddreves tudi koren celotnega drevesa in
  • poddrevo z večjim korenom pa postane levo poddrevo drevesa .

Dobro vedeti :

  • v binomskem drevesu je elementov ;
  • - k nam pove koliko je višina (globina) drevesa ;
  • Število vseh vozlišč D(k,i) na globini i je ;

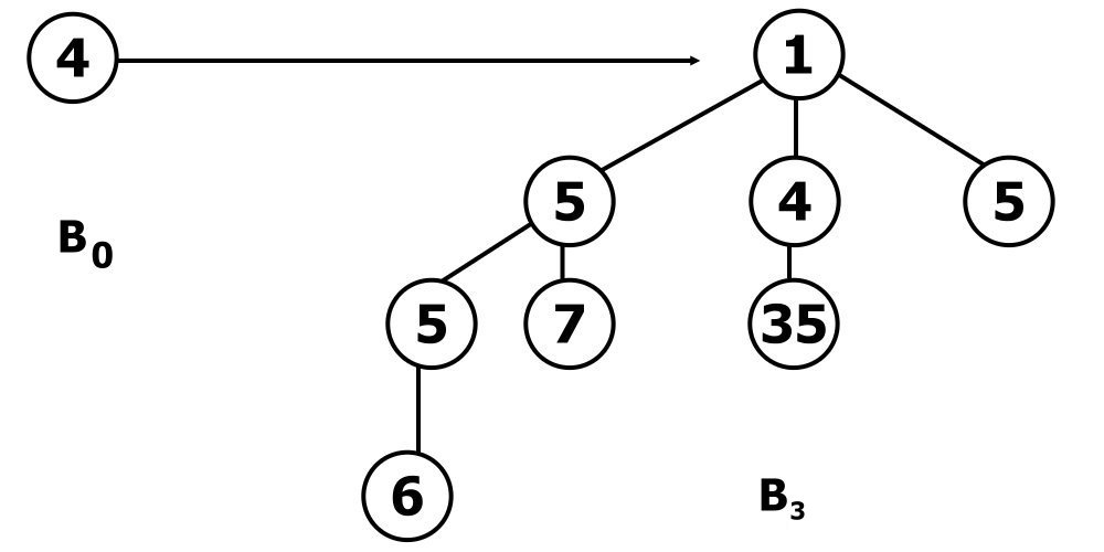
(binomskodrevo.jpg)
Primer binomskega drevesa

KAJ JE BINOMSKA KOPICA ?

Najprej smo si zelo na hitro pogledali kaj je binomsko drevo. Poznavanje le tega nam bo prišlo prav pri predstavitvi binomske kopice.

Definicija: Binomska kopica H (Vuillemin, 1978) je podatkovna struktura sestavljena iz več binomskih dreves in ima naslednje lastnosti:

  • Binomska drevesa v kopici imajo lastnost minimalnih kopic (angl. min-heap-ordered trees). To pomeni, da je podatek v levem oziroma desnem poddrevesu vedno večji ali enak podatku v korenu drevesa.
  • Za vsako nenegativno število k, obstaja največ eno binomsko drevo v kopici, katerega koren ima stopnjo k.
  • Velja: V binomski kopici so binomska drevesa po redu razvrščena naraščujoče od leve proti desni.

Prva lastnost nam pove, da je koren drevesa vedno najmanjši element v drevesu.

Druga lastnost nam pove, da binomska kopica H z n-vozlišči vsebuje največ log n+1 binomskih dreves. Število binomskih dreves v binomski kopici je odvisno od števila vozlišč. Vsako binomsko drevo predstavlja števko 1 v binarnem zapisu števila n. Poglejmo si naslednji zgled.

Zgled :

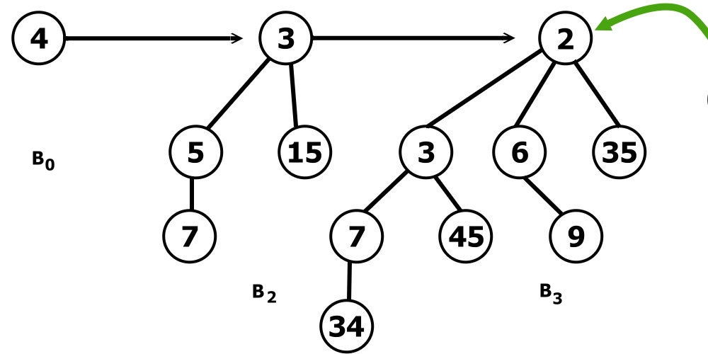
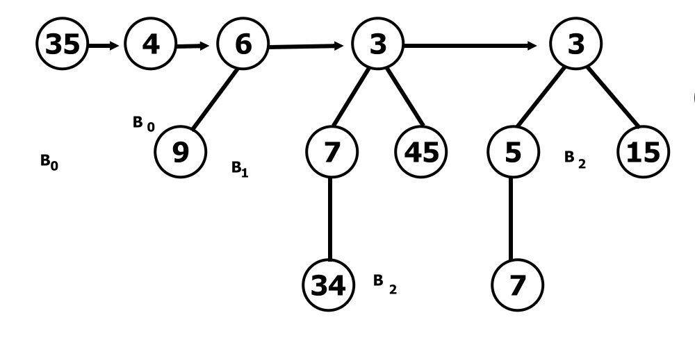
(binomskakopica.jpg)
Binomska kopica s 4 drevesi stopenj 0,1,2,3

Naša kopica ima 15 elementov (n). Naredimo binarni zapis števila 15:

15 : 2 = 7 + 1 ---> 1 * = 1

7 : 2 = 3 + 1 ---> 1 * = 2

3 : 2 = 1 + 1 ---> 1 * = 4

1 : 2 = 0 + 1 ---> 1 * = 8

15 v binarnem zapisu : 1 * + 1 *+ 1 * +1 *

Največji eksponent določa stopnjo binomskega drevesa.

Z pretvorbo smo dobili odgovor na vprašanje : koliko binomskih dreves sestavlja našo kopico in katerega reda je posamezno drevo ?

Odgovor : Imamo 4 binomska drevesa (pri vsakem deljenju je ostanek različen od 0)in imajo red 0, 1 , 2 , 3.

OPERACIJE NAD BINOMSKO KOPICO

  • Unija dveh kopic;
  • Brisanje minimuma;
  • Vstavljanje novega vozlišča;
  • Zmanjšanje ključa;
  • Brisanje vozlišča.

ZDRUŽITEV BINOMSKIH KOPIC - UNIJA

Ko združujemo dve binomski kopici H1 in H2 ven dobimo novo binomsko kopico H.

POSTOPEK ZDRUŽEVANJA :

  • H1 in H2 združimo, tako da najprej binomska drevesa iz H1 in H2 razvrstimo glede na stopnje oziroma red dreves. Razvrstimo jih od najmanšega reda do največjega.
  • Če imamo po prvem koraku v H več dreves iste stopnje, potem sledi, da moramo združiti tudi te med seboj. Za koren združenih dreves vzamemo tistega, ki ima manjši ključ. Binomsko drevo z večjim ključem v korenu pa postane levo poddrevo združenega binomskega drevesa H.
  • Postopek združevanja se konča tedaj, ko so vsa binomska drevesa v novo nastali kopici različnih stopenj, in ko je izpolnjena lastnost minimalne kopice.

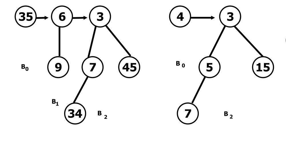
Zgled :

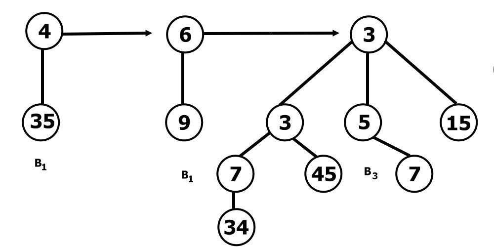
Imamo dve drevesi H1 IN H2, kateri bomo združili. Vidimo, da je H1 sestavljena iz enega binomskega drevesa reda . H2 je sestavljen iz dveh binomskih dreves reda in reda .

(unija1.jpg)
Unija dveh kopic

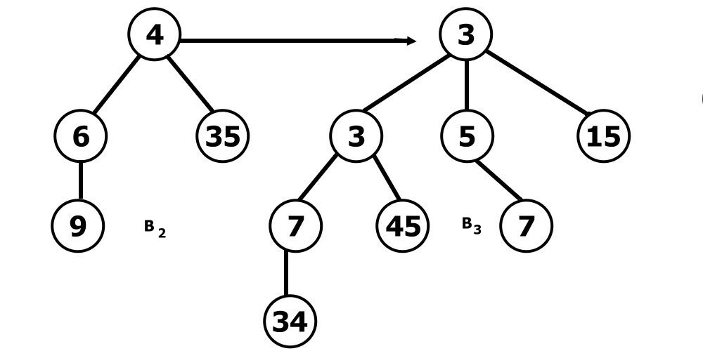
Naslednji korak v postopku je, da združimo med seboj drevesa istih stopenj. Stopnje so razporejene od najmanjše do največje. Ker velja pravilo, da se vsaka stopnja v binomski kopici pojavi samo enkrat, moramo upoštevati tudi to.

(unija2.jpg)
Unija dveh kopic

Pravilo pravi, da binomsko drevo, katero ima večji ključ v korenu postane levo podddrevo našega novega drevesa. Vemo tudi da sta število vozlišč in sestava binomske kopice močno povezani torej lahko preverimo naslednje: Vozlišč v H1 in H2 je skupno 9, v binomskem zapisu 1001 = 1* + 0* + 0 * + 1 * . Zapis nam pove, da je novo nastala binomska kopica H sestavljena iz binomskih dreves reda 0 in 3.

(unija3.jpg)
Nova binomska kopica

BRISANJE MINIMUMA

Do sedaj vemo, da se najmanjši podatek nahaja v korenu enega izmed binomskih dreves, ki sestavljajo binomsko kopico. Sledi, da moramo potem ponovno na novo sestaviti kopico.

POSTOPEK BRISANJA MINIMUMA :

  • Izmed vseh dreves, ki sestavljajo binomsko kopico vzamemo tistega, ki ima najmanjši koren in ga odstranimo. Njegove sinove pa uporabimo v novi binomski kopici, in sicer v obratnem vrstnem redu, kot so bili v trenutni kopici.
  • Po izbrisanem korenu se nam podre struktura drevesa in ne zadošča pogojem binomske kopice zato ga moramo popraviti.

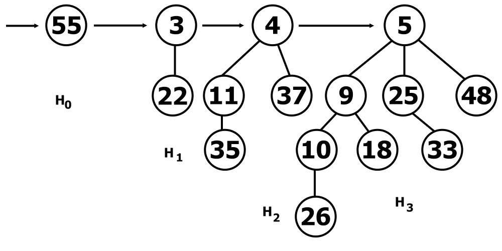
Zgled : Znotraj binomske kopice na sliki pogledamo katero binomsko drevo ima najmanjšo vrednost v korenu. To je naš minimum.

(minimum1.jpg)
***

Binomsko drevo, zapisan v obratnem vrstnem redu,kot je bil v trenutni kopici ter preostali del trenutne kopice.

(minimum2.jpg)
***

Od tu naprej že znamo nadaljevati, imamo 2 binomski drevesi, ki ju med seboj združimo. Najprej poskrbimo za stopnje dreves (red dreves). .

(minimum3.jpg)
***

Stopnje združimo.

(minimum4.jpg)
***

Binomska kopica ima 12 vozlišč, binarni zapis: 1*+1*+0*+0*

(minimum5.jpg)
Nova binomska kopica

VSTAVLJANJE NOVEGA VOZLIŠČA

POSTOPEK VSTAVLJANJA :

  • H1- podana kopica;
  • H2- kopica, ki vsebuje podatek, ki ga želimo vstaviti v podano kopico.

Sedaj ni več problem kako združiti dve kopici :). Glej postopek : unija.

(vstavljvoz1.jpg)
:)
(vstavljvoz2.jpg)
:)
(vstavljvoz3.jpg)
:)
(vstavljvoz4.jpg)
:)
(vstavljvoz5.jpg)
:)

ZMANJŠANJE KLJUČA

  • Gre za to, da zamenjamo nek podatek v kopici z drugim manjšim podatkom. Takoj, ko posežemo v kopico se zna zgoditi, da ne zadošča več lastnostim binomske kopice.
  • Sledi, da moramo vstavljeni podatek preveriti še s svojim očetom (korenom). Če je koren večji kot nov podatek ju zamenjamo (izpolnujemo lastnost o minimalni kopici).
  • Ta postopek ponavljamo dokler ni koren manjši od vstavljenega podatka oziroma dokler ne pridemo do "glavnega" korena v binomskem drevesu.

BRISANJE VOZLIŠČA

POSTOPEK :

Deluje v treh korakih. Najprej poiščemo vozlišče s ključem, ki ga želimo zbrisati. Nato vrednost tega ključa zmanjšamo na . Potem uporabimo postopek za brisanje minimuma ter postopek združitev dveh kopic.

Povzetek

  • binomske kopice so sestavljene iz binomskih dreves;
  • za binomska drevesa znotraj binomske kopice velja lastnost minimalnih kopic;
  • UPORABA: hitro iskanje podatkov;
  • nad binomskimi kopicami izvajamo operacije : unija dveh kopic,brisanje minimuma, vstavljanje novega vozlišča, zmanjšanje ključa, brisanje vozlišča

LITERATURA

  • http://wiki.fmf.uni-lj.si/wiki/Binomsko_drevo
  • http://wiki.fmf.uni-lj.si/wiki/Binomska_kopica
  • http://www.nauk.si/materials/5048/out/#state=1
  • www.cs.unc.edu/~plaisted/comp750/05-binheaps.ppt
  • http://www.csc.uvic.ca/courses/csc326/201009/heaps-4up.pdf

Poglejte si še: naloge

0%
0%